Evaluation of the dynamics of detection of viable SARS-CoV-2 (Coronaviridae: Betacoronavirus: Sarbecovirus) in biological samples obtained from patients with COVID-19 in a health care setting, as one of the indicators of the infectivity of the virus
- Authors: Kuznetsova N.A.1, Ogarkova D.A.1, Gushchin V.A.1, Antipyat N.A.2, Bacalin V.V.3, Burgasova O.A.3, Vasilchenko L.A.1, Samkov A.A.2, Simakova Y.V.1, Divisenko E.V.1, Siniavin A.E.1, Tkachuk A.P.1, Kolobukhina L.V.1, Shidlovskaya E.V.1, Tyurin I.N.2, Kruzhkova I.S.1, Zlobin V.I.1, Nikiforova M.A.1, Odnoralov M.A.2, Gintsburg A.L.1
-
Affiliations:
- National Research Center for Epidemiology and Microbiology named after Honorary Academician N.F. Gamaleya of the Ministry of Health of the Russian Federation
- Infectious Clinical Hospital No. 1 of the Department of Health of the Moscow
- Peoples’ Friendship University of Russia
- Issue: Vol 68, No 2 (2023)
- Pages: 105-116
- Section: ORIGINAL RESEARCHES
- URL: https://virusjour.crie.ru/jour/article/view/6314
- DOI: https://doi.org/10.36233/0507-4088-160
- EDN: https://elibrary.ru/bhkjkp
- ID: 6314
Cite item
Abstract
Introduction. The study of the mechanisms of transmission of the SARS-CoV-2 virus is the basis for building a strategy for anti-epidemic measures in the context of the COVID-19 pandemic. Understanding in what time frame a patient can spread SARS-CoV-2 is just as important as knowing the transmission mechanisms themselves. This information is necessary to develop effective measures to prevent infection by breaking the chains of transmission of the virus.
The aim of the work – is to identify the infectious SARS-CoV-2 virus in patient samples in the course of the disease and to determine the duration of virus shedding in patients with varying severity of COVID-19.
Materials and methods. In patients included in the study, biomaterial (nasopharyngeal swabs) was subjected to analysis by quantitative RT-PCR and virological determination of infectivity of the virus.
Results. We have determined the timeframe of maintaining the infectivity of the virus in patients hospitalized with severe and moderate COVID-19. Based on the results of the study, we made an analysis of the relationship between the amount of detected SARS-CoV-2 RNA and the infectivity of the virus in vitro in patients with COVID-19. The median time of the infectious virus shedding was 8 days. In addition, a comparative analysis of different protocols for the detection of the viral RNA in relation to the identification of the infectious virus was carried out.
Conclusion. The obtained data make it possible to assess the dynamics of SARS-CoV-2 detection and viral load in patients with COVID-19 and indicate the significance of these parameters for the subsequent spread of the virus and the organization of preventive measures.
Keywords
Full Text
Introduction
Infection with SARS-CoV-2 causes COVID-19 disease [1] with symptoms ranging from mild to extremely severe when patients need to be hospitalized to receive treatment in the intensive care unit [2]. Still most of the patients with SARS-CoV-2 infection experience mild or even asymptomatic illness [3]. Understanding of modes and routes of SARS-CoV-2 transmission is critically important to combat the COVID-19 pandemic effectively [4]. It is estimated that the risk of transmission from asymptomatic patients is quite high, reaching 62% of cases, thus leading to significant numbers of undiagnosed cases of infection [5]. Close attention should be given to patients with COVID-19 during the prodromal stage (2–3 days before they develop clinical symptoms of the disease) when they are an active source of infection, as also confirmed by a number of foreign researchers [6].
The main mode of COVID-19 pathogen transmission from person to person is via airborne particles and droplets [4]. The virus is spread by close contact of an infected person with a healthy one. The pathogen spreads through droplets from the mouth or nose of an infected person when this person coughs, sneezes, talks, or experiences difficulty breathing [7]. Exposure to infection occurs during inhalation of virus-containing particles or their contact with mucous membranes of the eyes, nose, or mouth. There are other modes and routes of transmission, including airborne (fomite), fecal-oral, bloodborne, vertical (mother-to-child) and zoonotic (animal-to-human) [8]. Important factors that play a critical role in the transmission of the virus from person to person are the amount of the virus released into the environment and the duration of its shedding. These factors have a direct impact on the effectiveness of measures aimed at controlling and preventing the spread of the disease.
At present, the real-time reverse transcription polymerase chain reaction (RT-PCR) is the most widely used test for COVID-19 diagnosis and detection of viral RNA in different biological samples [9, 10]. The highest viral load quantified by RT-PCR is observed during the period from the onset of symptoms to the 7th day of the disease, providing a rationale for a more efficient spread of SARS-CoV-2 compared to other respiratory infections [11]. Based on results of different meta-analyses, the mean duration of SARS-CoV-2 RNA detection ranges from 9.3 to 20.0 days in the respiratory tract and from 14.4 to 20.1 days in stools. In cases of persistent infection, the detectable RNA can exist for more than 100 days [11, 12].
The duration of viral shedding is an important factor in the transmission of the SARS-CoV-2 pathogen, being crucial for decisions on preventive measures, including isolation of patients, considering their contagiousness to others. Currently, there have been around 30 publications, in which researchers estimated the duration of shedding the infectious virus by patients. In one of the recent studies, the analysis of the relationship between the cycle threshold (Ct) value and the infectivity of the virus helped identify a Ct value range of 26.25 to 34.00 (95% confidence interval (CI)) with the median of 30.5 and the mean value of 30.82 for samples containing the virus [11, 13]. However, the relationship between the viral load and COVID-19 severity, which is measured using the criteria specified by the World Health Organization (WHO), has not been sufficiently studied [14]. Another understudied problem is the information capability of PCR tests targeting different regions of the SARS-CoV-2 genome (with consideration for difference in the copy number of genomic RNA fragments) for detection of carriers of the infectious virus.
In this context, the aim of our study was to analyze the dynamics of SARS-CoV-2 detection in patients with severe and moderate COVID-19 as well as to assess the information capability of different PCR systems, among other things, addressing the assessment of the risk associated with nosocomial transmission of the pathogen.
Materials and methods
Study design and patient selection. The enrollment of patients with the verified diagnosis of COVID-19 and collection of biological material during the disease were performed at Infectious Diseases Clinical Hospital No. 1 in Moscow from 17/11/2020 to 3/2/2021. The study was approved by the Ethics Committee (protocols No. 11a of 16/11/2020 and No. 1 of 11/2/2021). The enrollees signed their informed consent for collection of biological material; in addition, they filled out questionnaires for personal information.
A total of 1,072 patients diagnosed with COVID-19 participated in the study; all of them were admitted to hospital within different periods from the symptom onset. The positive PCR test at admission to hospital served as a criterion for the patient being included in the study. The PCR test results, based on which patients were included in the study, had been obtained using different testing systems and from different facilities that performed swab tests prior to or immediately after a patient’s hospitalization. The patients had initial clinical examination; they were monitored during their disease development; their clinical scores, laboratory test results and instrumental examination results were assessed; then, the patients were assigned to different groups based on the severity assessment criteria recommended by WHO [14]. Biomaterial was collected from the patients for further analysis by the quantitative RT-PCR and virological testing of nasopharyngeal swabs using cells permissive to SARS-CoV-2 replication. During the hospital period, the biomaterial was collected from the patients at the following frequency: nasopharyngeal swabs were examined every 3 ± 2 days, venous blood was collected one time within 5–7 days during the disease. The diagnostic algorithm included the analysis of epidemiological, clinical, laboratory, and instrumental data. The final analysis included 584 patients who were tested positive by quantitative PCR for the first point of sample collection and for whom the following baseline parameters were evaluated: The severity of the disease was assessed; the viral load was measured on the first day of hospitalization.
SARS-CoV-2 viral load assessment. The nasopharyngeal swab specimens were tested by RT-PCR using the SARS-CoV-2 FRT reagent kit for SARS-CoV-2 RNA extraction and quantification from the Gamaleya National Research Center of Epidemiology and Microbiology (Gamaleya NRCEM) in accordance with the manufacturer’s instruction. The relative quantity of SARS-CoV-2 RNA was measured using the calibration line. To build the line, for each stage of analysis, we tested the calibration standards, which were represented by recombinant constructs containing an amplifiable fragment of the SARS-CoV-2 genome at the known concentration. As the comparison of fragment numbers was relative, RNA fragments were not used. The reverse transcription stage during PCR testing was monitored using the internal control RNA included in the testing system.
In vitro detection of infectious SARS-CoV-2. The 293T/ACE2 cell line (constitutively expressing human ACE2 (angiotensin-converting enzyme 2)) was used for detection of the infectious SARS-CoV-2 virus [15]. The cells were grown in DMEM (Dulbecco’s modified Eagles medium) (PanEco, Russia) containing 10% fetal bovine serum (HyClone, United States), 1× L-glutamine and 1× penicillin/streptomycin solution (Gibco, United States). A 96-well plate was used for tests. Nasopharyngeal swab specimens (100 µl) collected from patients with COVID-19 were placed into plates and successively diluted ten-fold. The plates were incubated for 5 days. Then the virus-induced cytopathic effect (CPE) was assessed. The RT-PCR test was used for the specimens demonstrating CPE for final confirmation.
Evaluation of PCR testing systems that differed by target regions of the SARS-CoV-2 genome for assessment of the possibility of detection of CPE-identified infectious virus carriers. To measure the effectiveness of different loci of the SARS-CoV-2 genome for PCR-based detection of CPE-identified carriers of the infectious virus, the comparative analysis was performed for ORF1b-nsp14, N-gene, Envelope protein, RdRP, and NSP1 loci (using the SARS-CoV-2 FRT reagent kit for extraction and qualitative detection of SARS-CoV-2 RNA by RT-PCR from Gamaleya NRCEM) of the virus genome. The respective oligonucleotides and source references are presented in Table S1. For RT-PCR, we used the reaction mixture containing (per reaction) 5 pmol of each primer, 3 pmol of the probe (Lumiprobe, Russia), 2× buffer for real-time RT-PCR and BioMaster-mix (BioMaster Real-Time RT-PCR (2×), Biolabmix, Russia). The total volume of reaction mixture was 25 µl. The CFX96 Touch Real-Time PCR Detection System (Bio-Rad, United States) was used for amplification. The requirements for the one-step RT-qPCR have been specified previously for primers recommended by WHO [16] and CDC (Centers for Disease Control and Prevention, United States) [17].
Table S1. Oligonucleotides used to assess the effectiveness of various loci of the SARS-CoV-2 virus genome to detect the virus infectivity
Таблица П1. Олигонуклеотиды, использованные для оценки эффективности различных локусов генома вируса SARS-CoV-2 для выявления инфекционности вируса
Название, мишень Target | Источник Reference |
ORF1b-nsp14 HKU-ORF1b-nsp14F TGGGGYTTTACRGGTAACCT HKU-ORF1b-nsp14R AACRCGCTTAACAAAGCACTC HKU-ORF1b-nsp141P Cy5-TAGTTGTGATGCWATCATGACTAG-BHQ2 N gene (Nucleoprotein) HKU-NF TAATCAGACAAGGAACTGATTA HKU-NR CGAAGGTGTGACTTCCATG HKU-NP Cy5-GCAAATTGTGCAATTTGCGG-BHQ2 | WHO [16] |
Envelope protein E_Sarbeco_F ACAGGTACGTTAATAGTTAATAGCGT E_Sarbeco_R ATATTGCAGCAGTACGCACACA E_Sarbeco_P1 Cy5-ACACTAGCCATCCTTACTGCGCTTCG-BHQ2 N gene (Nucleoprotein) N_Sarbeco_F CACATTGGCACCCGCAATC N_Sarbeco_R GAGGAACGAGAAGAGGCTTG N_Sarbeco_P Cy5-ACTTCCTCAAGGAACAACATTGCCA-BHQ2 RdRP gene RdRp_SARSr-F GTGARATGGTCATGTGTGGCGG RdRp_SARSr-R CARATGTTAAASACACTATTAGCATA RdRp_SARSr-P2 Cy5-CAGGTGGAACCTCATCAGGAGATGC-BHQ2 | CDC [17] |
NSP1 | Набор реагентов для экстракции и качественного определения РНК коронавируса SARS-CoV-2 методом ОТ-ПЦР «SARS-CoV-2 FRT» производства ФГБУ «НИЦЭМ им. Н.Ф. Гамалеи» Kit for SARS-CoV-2 RNA detection by RT-PCR “SARS-CoV-2 FRT”, National Research Center for Epidemiology and Microbiology named after Honorary Academician N.F. Gamaleya |
Statistical analysis of the data. The statistical analysis of the data was conducted using GraphPad Prism 8 software, the R project for statistical computing (version 4.0.3), and Rstudio software (version 1.3.1093), IBM SPSS Statistics 26.0. Quantitative variables were analyzed using the Shapiro-Wilk test to compare data distributions with the normal distribution. For most of the groups, the observed distribution differed significantly (p > 0.05) from the normal distribution; therefore, the median and the interquartile range were used for description of major tendencies. To measure the statistical significance of differences between the studied groups, we used the Wilcoxon signed-rank test (W) for dependent samples and the Kruskal–Wallis test or the Mann–Whitney test for independent samples (see explanation in the text). Differences were seen as significant at p < 0.05. Spearman’s rank correlation coefficient was used to describe the association between quantitative variables. The χ2 test or Fisher’s exact test was used for comparison of qualitative variables (see explanation in the text).
Results
Characteristics of the studied cohort. The study was performed using specimens collected from patients hospitalized with COVID-19. The data of patients who were tested positive for SARS-CoV-2 RNA by the PCR test were analyzed. Characteristics of the patients participating in the study are presented in Table 1. The minimum time span from the onset of clinical symptoms to hospitalization was 1 day, i.e. patients were hospitalized on the day of symptom onset (according to the patients). The hospital length of stay is known for 378 patients (64.7%).
Table 1. Characteristics of the patient cohort
Таблица 1. Характеристика исследуемой когорты пациентов
Characteristics Исследуемый показатель | Min | Max | Me | IQR |
Day of hospitalization from first symptoms День госпитализации от первых симптомов | 1 | 76 | 7 | 5–8 |
Length of stay, days (n = 378 (64.7%)) Срок госпитализации, дней (n = 378 (64.7%)) | 1 | 52 | 9 | 7–13 |
Age, years Возраст, лет | 18 | 97 | 67 | 58.0–78.5 |
Male / female, n (%) Мужчины / женщины, n (%) | 243 (41.6) / 341 (58.4) | |||
Disease severity, n (%) mild / moderate / severe Тяжесть, n (%) лёгкая / среднетяжёлая / тяжёлая | 3 (0.5) / 347 (59.4) / 234 (40.1) | |||
Fatal outcome (n = 415), n (%) Летальный исход (n = 415), n (%) | 28 (6.7) | |||
Note. Min – minimum value; max – maximum value; Me – median; IQR – interquartile range.
Примечание. Min – минимальное значение; max – максимальное значение; Me – медиана; IQR – межквартильный размах.
The age distribution of patients was characterized by pronounced polymodality including two distinctive peaks at the age of 60–65 and 80–85. Most of the patients were 51 to 90 years old (879 (84.1%) patients). Patients under 30 years and over 91 years of age accounted for the smallest percentage or 1.2% (n = 7 for both age groups). Patients aged 31–40 years accounted for 4.8% (n = 28), 41–50 years – 8.7% (n = 51), 51–60 years – 15.8% (n = 92), 61–70 years – 26.7% (n = 156), 71–80 years – 23.3% (n = 136), 81–90 years – 18.3% (n = 107), 91 years and older – 1.2% (n = 7).
Characteristics of patients depending on the severity of COVID-19. The severity of COVID-19 was assessed in accordance with the WHO criteria [14] (Table S2); the severity of disease at hospital admission was taken into consideration. As there were only three hospitalized patients with mild disease, we did not include this group in the comparative assessment. The patients who had positive PCR test results and were hospitalized with severe symptoms were significantly older than the patients hospitalized with moderate symptoms (p < 0.001).
Table S2. Сharacteristics of PCR-positive patients according to disease severity on admission to hospital
Таблица П2. Основные характеристики ПЦР-положительных пациентов в зависимости от тяжести при поступлении
Показатель Index | Тяжесть течения Disease severity | р (критерий) р (test) | ||
лёгкая (n = 3) mild (n = 3) | среднетяжёлая (n = 347) Moderate (n = 347) | тяжёлая (n = 234) Severe (n = 234) | ||
Женщины / мужчины, n (%) Female / male, n (%) | 2 (66,7) / 1 (33,3) | 202 (58,2) / 142 (41,8) | 137 (58,5) / 97 (41,5) | 1,000 (χ2) |
Возраст, полных лет, Me (IQR) Age, years, Me (IQR) | 68 (58–69,5) | 66 (55,5–76) | 70 (62–80) | < 0,001* (Манна–Уитни) (Mann–Whitney) |
День госпитализации после проявления симптомов, Me (IQR) Day of hospitalization after symptom onset, Me (IQR) | 7 (6–7) | 7 (5–8) | 7 (5–9) | 0,775 (Манна–Уитни) (Mann–Whitney) |
Дни госпитализации, Me (IQR) Days of hospitalization, Me (IQR) | Известно / Known 3 (100%) 10 (7–10,5) | Известно / Known 222 (64,0%) 9 (7–13) | Известно / Known 153 (65,4%) 10(7–14) | 0,142 (Манна–Уитни) (Mann–Whitney) |
Летальных случаев, n (%) Fatal outcome, n (%) | Известно / Known 3 0 (0,0) | Известно / Known 240 9 (3,8) | Известно / Known 172 19 (11,0) | 0,021* (точный критерий Фишера) (Fisher’s exact test) |
Первая точка (сутки от начала симптомов), Me (IQR) The first timepoint (days from the onset of symptoms), Me (IQR) | 8 (7,5–8) | 8 (6–9) | 8 (6–10) | 0,782 (Краскелла–Уоллиса) (Kruskell–Wallis) |
Ct, Me (IQR) | 31,01 (28,92–32,62) | 31,50 (28,50–34,01) | 31,75 (27,81–34,45) | 0,821 (Манна–Уитни) (Mann–Whitney) |
Вирусная нагрузка, ГЭ/мл, Me (IQR) Viral load, copies/ml, Me (IQR) | 5,67 × 104 (2,99 × 104 – 4,29 × 105) | 3,26 × 104 (4,59 × 103 – 2,79 × 105) | 2,93 × 104 (3,53 × 103 – 4,04 × 105) | 0,764 (Манна–Уитни) (Mann–Whitney) |
Инфекционность вируса, n (%) Virus infectivity, n (%) | 0 (0,0) | 57 (16,4) | 40 (17,1) | 0,948 (точный критерий Фишера) (Fisher’s exact test) |
Вторая точка (сутки от начала симптомов), Me (IQR) Second timepoint (days from onset of symptoms), Me (IQR) | n = 3 11 (10,5–11,50) | n = 331 11 (9–13) | n = 216 11 (9–13) | 0,583 (Краскела–Уоллиса) (Kruskell–Wallis) |
ПЦР+, n (%) PCR+, n (%) | 1 (33,3) | 181 (54,7) | 125 (57,9) | 0,537 (точный тест Фишера) (Fisher’s exact test) |
Ct, Me (IQR) | – | 32,02 (29,01–34,28) | 32,42 (29,96–34,48) | 0,316 (Манна–Уитни) (Mann–Whitney) |
Вирусная нагрузка, ГЭ/мл, Me (IQR) Viral load, copies/ml, Me (IQR) | – | 2,04 × 104 (2,76 × 103 – 1,38 × 105) | 1,40 × 104 (1,99 × 103 – 8,58 × 104) | 0,361 (Манна–Уитни) (Mann–Whitney) |
Инфекционность вируса, n (%) Virus infectivity, n (%) | Известно / Known 1 0 (0,0) | Известно / Known 181 19 (10,5) | Известно / Known 125 8 (6,4) | 0,228 (точный критерий Фишера) (Fisher’s exact test) |
Третья точка (сутки от начала симптомов), Me (IQR) Third timepoint (days from onset of symptoms), Me (IQR) | n = 1 | n = 134 13 (11–15) | n = 91 14 (12–16) | 0,057 (Манна–Уитни) (Mann–Whitney) |
ПЦР+, n (%) PCR+, n (%) | 0 (0,0) | 75 (56,0) | 55 (60,4) | 0,441 (точный тест Фишера) (Fisher’s exact test) |
Ct, Me (IQR) | – | 32,64 (29,67–34,81) | 31,33 (28,71–34,29) | 0,254 (Манна–Уитни) (Mann–Whitney) |
Вирусная нагрузка, ГЭ/мл, Me (IQR) Viral load, copies/ml, Me (IQR) | – | 1,42 × 104 (1,61 × 103 – 8,44 × 104) | 2,11 × 104 (2,93 × 103 – 2,92 × 105) | 0,178 (Манна–Уитни) (Mann–Whitney) |
Примечание. При сравнении когорт по тяжести не учитывались лёгкие пациенты. ПЦР+/– – положительный/отрицательный тест полимеразной цепной реакции. *р < 0,001 при расчёте с использованием критерия Манна–Уитни.
Note. Comparison of severity cohorts did not include patients with mild disease. PCR+/– indicates positive/negative
In the disease severity-based groups, the percentage of patients did not differ by gender (p = 1.000). The comparative analysis of the time from the symptom onset to hospitalization and the hospital length of stay did not show any statistically significant differences (p = 0.775 and р = 0,142). The percentage of fatal outcomes was 3.8% in the group of moderate cases and 11.0% in the group of severe cases (p = 0.021).
The first swab specimen was generally collected on the 8th day after the symptom onset in each group of patients (Table S2). The median Ct values in the group of patients with severe disease were 31.75 and in the group of patients with moderate disease – 31.50. Because of the inaccuracy of viral load measurement in gEq/ml, we were not able to find any statistically significant differences. By the time of the first test, the virus infectivity did not differ significantly in the groups of patients with moderate and severe disease (p = 0.948). In the groups of PCR-positive patients with moderate and severe disease, the virus was isolated from 16.4 and 17.1%, respectively.
The median time of the second specimen collection for laboratory tests was 11 days from the symptom onset (Table S2). By the 11th day, the test results were obtained for 550 of 584 patients who were initially PCR-positive (94.2% of the total number of patients); 307 (55.8%) of them were PCR-positive (p = 0.537). No statistically significant differences in viral load levels were found among patients with moderate and severe disease (the median Ct value was 32.02 (29.01–34.28) and 32.42 (29.96–34.48), p = 0.316 (the Mann–Whitney test). After the second collection, 27 (8.8%) specimens of 307 were tested positive. No statistically significant differences between the groups were found (p = 0.228).
The median time of the third point of tests was 13–14 days from the symptom onset (p = 0.057) (Table S2). Based on the studied variables (the viral load and virus infectivity), all groups were homogenous (p > 0.05). The third-point PCR results were available for 226 patients, and 130 (57.5%) of them were PCR-positive. No statistically significant differences between the groups were found (р = 0.441).
The relationship between viral load levels and the CPE-based detected infectious virus. We analyzed the relationship between the detection of the infectious virus and the viral load. Tables S3 and S4 present comparative characteristics of patients with reference to the virus isolation results. No statistically significant difference by gender, age, and disease severity between patients shedding the infectious virus and those who were tested positive by the PCR test was found. The median number of days from the symptom onset to the test is statistically different in the group with the infectious virus compared to the group, in which the virus was not isolated, being 7 and 8 days, respectively (p < 0.001*). The differences in viral load levels were also statistically significant (p < 0.001*) for Ct values and viral loads measured in copies/ml. The median Ct value in the group of patients, where the virus was not isolated, was 32.25, or 1.71 × 104 copies/ml, and in the group with the infectious virus, it was 26.14, or 1.09 × 106 copies/ml (Fig. 1).
Table S3. Сorrelation of virus infectivity with different characteristics of PCR-positive COVID-19 patients (n = 312)
Таблица П3. Связь инфекционности вируса с различными характеристиками ПЦР-положительных пациентов COVID-19 (n = 312)
Показатель Index | Цитопатический эффект Cytopathic effect | р (критерий) р (test) | |
отрицательный negative (n = 487 (80,82%)) | положительный positive (n = 97 (19,18%)) | ||
Женщины / мужчины, n (%) Female / male, n (%) | 281 (57,7) / 206 (42,3) | 60 (61,9) / 37 (38,1) | 0,499 (χ2) |
Возраст, полных лет, Me (IQR) Age, years, Me (IQR) | 67 (57–79) | 67,5 (61,5–78) | 0,478 (Манна–Уитни) 0,478 (Mann–Whitney) |
Тяжесть, n (%) лёгкая/среднетяжёлая/тяжёлая Disease severity, n (%) mild/moderate/severe | 3 (0,6) / 290 (59,5) / 194 (39,8) | 0 (0,0) / 57 (58,8) / 40 (41,2) | 0,948 (точный критерий Фишера) (Fisher’s exact test) |
Сутки от начала симптомов до анализа, Me (IQR) Days from the onset of symptoms to analysis, Me (IQR) | 8 (6–10) | 7 (5–9) | < 0,001* (Манна–Уитни) (Mann–Whitney) |
Ct, Me (IQR) | 32,25 (29,68–34,74) | 26,14 (23,81–28,86) | < 0,001* (Манна–Уитни) (Mann–Whitney) |
Вирусная нагрузка, ГЭ/мл, Me (IQR) Viral load, copies/ml, Me (IQR) | 1,71 × 104 (2,97 × 103 – 9,76 × 104) | 1,09 × 106 (2,34 × 105 – 5,50 × 106) | < 0,001* (Манна–Уитни) (Mann–Whitney) |
Смертельный исход, n (%) Fatal outcome, n (%) | Известно / Known 348 18 (5,2) | Известно / Known 67 10 (14,9) | 0,007* (точный тест Фишера) (Fisher’s exact test) |
Примечание. *р < 0,001 при расчёте с использованием критерия Манна–Уитни.
Note. *p < 0.001 when calculated using the Mann–Whitney test.
Table S4. Evaluation of the of the virus infectivity in the observation groups depending on the duration of hospitalization and disease severity
Таблица П4. Оценка инфекционности вируса в группах наблюдения в зависимости от сроков госпитализации и тяжести
Показатель Index | Инфекционность вируса при госпитализации Virus infectivity during hospitalization | Группа среднетяжёлых Moderate | Группа тяжёлых Severe | р (критерий Манна–Уитни) р (Mann–Whitney test) |
n | Нет / no | 290 | 194 | – |
Да / yes | 57 | 40 | – | |
Возраст, лет, Me (IQR) Age, years, Me (IQR) | Нет / no | 65,5 (55–76) | 70 (61–81) | 0,001* |
Да / yes | 66 (60–76) | 71,5 (64–80) | 0,103 | |
р (критерий Манна–Уитни) р (Mann–Whitney test) | – | 0,505 | 0,600 | – |
Сутки от начала симптомов, Me (IQR) Days from onset of symptoms, Me (IQR) | Нет / no | 8 (6–10) | 8 (6–10) | 0,843 |
Да / yes | 7 (5–9) | 7,5 (6–9) | 0,241 | |
р (критерий Манна–Уитни) р (Mann–Whitney test) | – | 0,010* | 0,571 | – |
Женщины / мужчины, n (%) Female / male, n (%) | Нет / no | 68 (58,1) / 49 (41,9) | 85 (61,2) / 54 (38,8) | 0,633 (χ2) |
Да / yes | 13 (59,1) / 9 (40,9) | 13 (54,2) / 11 (45,8) | 0,791 (χ2) | |
p (критерий Манна–Уитни) p (Mann–Whitney test) | – | 0,932 | 0,519 | – |
Ct, Me(IQR) | Нет / no | 32,05 (29,69–34,64) | 32,56 (29,67–34,93) | 0,389 |
Да / yes | 26,55 (23,54–29,28) | 25,95 (24,31–28,27) | 0,491 | |
p (критерий Манна–Уитни) p (Mann–Whitney test) | – | < 0,001* | < 0,001* | – |
Вирусная нагрузка, ГЭ/мл, Me (IQR) Viral load, copies/ml, Me (IQR) | Нет / no | 1,85 × 104 (3,33 × 103 – 7,98 × 104) | 1,49 × 104 (1,96 × 103 – 1,41 × 105) | 0,547 |
Да / yes | 1,20 × 106 (2,34 × 105 – 5,55 × 106) | 9,68 × 105 (2,11 × 105 – 5,79 × 106) | 0,792 | |
p (критерий Манна–Уитни) p (Mann–Whitney test) | – | < 0,001* | < 0,001* | – |
Примечание. *р < 0,001 при расчёте с использованием критерия Манна–Уитни.
Note. *p < 0.001 when calculated using the Mann–Whitney test.
Fig. 1. Viral load in samples with infectious and non-infectious virus. p < 0.0001 when calculated using the Wilcoxon signed rank test (W); p < 0.001* when calculated using the Mann–Whitney test.
Detection of the infectious virus in patients over time. To analyze virus detection over time, we used the result with the highest viral load (out of three results), when specimens were both tested positive by a PCR test and were examined for CPE presence. During the first week after the onset of symptoms (0–7 days), the infectious virus was detected in specimens collected from 29 (22.8%) patients; during the second week (8–14 days), it was detected in specimens from 37 (10.0%) patients; during the third week and later (more than 14 days), it was detected in specimens from only 4 (4.6%) patients. Statistically significant differences were found when the percentage of specimens with the infectious virus detected on the 0th –7th day after the symptom onset was compared with the percentage of specimens with the virus detected on the 8th – 14th day and the percentage of specimens with the virus detected on the 14th day and later after the symptom onset. At the same time, no statistically significant differences between the percentage of specimens with the infectious virus detected during the second week and the percentage of specimens with the virus detected at later time were found (p = 0.113). The results are presented in Table 2 and Fig. 2.
Table 2. Percentage of samples with infectious virus by time after onset of symptoms
Таблица 2. Доля образцов инфекционного вируса в зависимости от времени после начала симптомов
Time from onset of symptoms, days Время от проявления симптомов, сутки | Mean time from symptom onset, days, Me (IQR) Среднее время от начала симптомов, сутки, Me (IQR) | n | Samples containing infectious virus, n (%) Образцы, содержащие инфекционный вирус, n (%) |
0–7 | 6 (4–7) | 127 | 29 (22.8) |
8–14 | 10 (9–12) | 370 | 37 (10.0) |
More than 14 Более 14 | 16 (15–19) | 87 | 4 (4.6) |
Fig. 2. The percent of infectious virus depending on the time after the onset of symptoms.
The differences in the percentage of specimens containing the infectious virus are statistically significant. Post hoc comparisons were conducted using the Benjamini-Hochberg method for multiple comparisons. p1vs2 < 0.001 – significance of differences between the first and the second week after the symptom onset; p1vs3 < 0.001 – significance of differences between the first week and the time exceeding 14 days after the symptom onset; p2vs3 = 0.113 – significance of differences between the second week and the time exceeding 14 days after the symptom onset; Me – the median time, IQR – the interquartile range.
Considering that the time of virus elimination after the symptom onset is known not for all patients, we analyzed the results of 293T/ACE2 cells being infected with materials from the patients over time. The percentage of specimens containing the infectious virus, including censored data (monitoring till the absence of the infectious virus was recorded) is shown in Table 3.
Table 3. The duration of the infectivity of the virus, censored data
Таблица 3. Сохранение инфекционности вируса с учётом цензурирования данных
Time from onset of symptoms, days Срок наблюдения от начала симптомов, дней | Persistence of infectious virus in PCR-positive patients with COVID-19, % Сохраняемость инфекционного вируса у ПЦР-положительных пациентов с COVID-19, % |
7 | 71.00 |
14 | 11.60 |
21 | 2.27 |
The analysis using the Kaplan-Meier method showed that the median time of persistence of the infectious virus in swabs was 8 days (95% CI, 7.77–8.24). This means that by the 8th day, the infectious virus can be eliminated in 50% of patients even though they still have a positive PCR test result. The elimination curve for the infectious virus is shown in Fig. 3. Based on the Mantel-Cox test, no statistically significant differences in the decline rate of infectious virus detection were found depending on the severity of COVID-19 (р = 0.529).
Fig. 3. Analysis of the persistence of an infectious virus in the nasopharyngeal swabs of patients depending on the time of onset of symptoms. The vertical line shows the median virus persistence time (8 days).
Assessment of the effectiveness of the PCR protocols for detection of patients whose bioassays contain the infectious virus. We assessed the effectiveness of different protocols for detection of SARS-CoV-2 RNA to evaluate the capacity of tests to detect carriers of the infectious virus. For this purpose, we used the protocols previously recommended by WHO and CDC as well as the test that we designed, in accordance with the instruction. The combinations of primers and probes are presented in Table S1. A total of 571 specimens were tested, and the infectious virus was detected in 68 specimens or in 11.9% of specimens used for the comparative analysis. The analysis of the time required for positive PCR results set apart a group of tests that had no statistical differences: HKU-ORF1b, HKU-N, and NSP1 (p < 0.05 in pairwise comparison) (Table 4). The median time for the positive result in these tests was 11 days. The RdRp system showed a negative result within a shorter period; the median time was 9 days. The E_Sarbeco and N_Sarbeco systems demonstrated positive results for the longest time; the median time was 13 and 12 days, respectively. The main statistical characteristics of the tests, which are obtained using the Kaplan–Meier survival analysis, are shown in Table S5. Note that any of the evaluated tests remained positive for a longer time than the time required for detection of virus infectivity (p < 0.001 when comparing the duration of positive results in any test system with the time required for detection of the infectious virus).
Table 4. Results of pairwise comparison of the duration of viral RNA detection using various PCR protocols (p < 0.05 was considered statistically significant)
Таблица 4. Результаты попарного сравнения длительности выявления РНК вируса с использованием различных протоколов ПЦР (p < 0,05 считали статистически достоверным)
Gehan–Wilcoxon test Статистика Уилкоксона (Гехана) | HKU-ORF1b | HKU-N | E_Sarbeco | N_Sarbeco | RdRp | NSP1 |
Viral viability | < 0.001* | < 0.001* | < 0.001* | < 0.001* | < 0.001* | < 0.001* |
HKU-ORF1b | – | 0.649 | < 0.001* | 0.008* | < 0.001* | 0.201 |
HKU-N | – | < 0.001* | 0.002* | 0.001* | 0.479 | |
E_Sarbeco | – | 0.103 | < 0.001* | < 0.001* | ||
N_Sarbeco | – | < 0.001* | < 0.001* | |||
RdRp | – | 0.005* | ||||
NSP1 | – |
Note. *p < 0.001 when calculated using the Mann–Whitney test.
Примечание. *р < 0,001 при расчёте с использованием критерия Манна–Уитни.
Table S5. Main statistical characteristics of tests obtained using Kaplan–Meier survival analysis
Таблица П5. Основные статистические характеристики тестов, полученные с помощью анализа выживаемости Каплана–Майера
Характеристика Characteristics | Позитивность теста, Ме, дней (95% ДИ) Test positivity, Me, days (95% CI) | Q1, день (75% образцов были положительны (или инфекционны) дольше, чем…) Q1, day (75% of samples were positive (or infectious) for longer than…) | Q3, день (25% образцов были положительны (или инфекционны) дольше, чем…) Q3, day (25% of samples were positive (or infectious) for longer than…) | % дожития, 0-й день % survival, 0th day | % дожития, 7-й день % survival, 7th day | % дожития, 14-й день % survival, 14th day |
Жизнеспособность Viral viability | 8 (7,77–8,24) | 6 | 10 | 71,00 | 11,60 | 2,27 |
HKU-ORF1b | 11 (10,30–11,70) | 8 | 16 | 85,65 | 36,71 | 15,84 |
HKU-N | 11 (10,42–11,58) | 8 | 15 | 87,09 | 33,24 | 9,84 |
E_Sarbeco | 13 (12,25–13,75) | 9 | 19 | 90,42 | 49,61 | 23,68 |
N_Sarbeco | 12 (11,29–12,72) | 8 | 17 | 90,03 | 42,28 | 19,09 |
RdRp | 9 (8,59–9,41) | 7 | 13 | 82,91 | 23,33 | 2,66 |
NSP1 | 11 (10,41–11,59) | 8 | 14 | 86,31 | 30,02 | 8,21 |
Примечание. 95% ДИ – 95% доверительный интервал.
Note. CI – confidence interval.
The comparison of Ct for specimens with and without the infectious virus, which were identified using the above protocols, showed significant difference for the following targets: HKU-ORF1b (p = 0.0033), E_Sarbeco (р < 0.0001), N_Sarbeco (р < 0.0001), and NSP1 (р < 0.0001). For HKU-N and RdRp targets, no statistically significant differences in Ct for specimens with and without the infectious virus were found. The p value was calculated using the Mann–Whitney test (Fig. 4, Table S6).
Fig. 4. Comparison of the Ct values for different protocols of the viral RNA identification in samples with an infectious and non-infectious virus.
Table S6. Comparison of Ct obtained using different viral RNA identification protocols for samples with infectious and non-infectious virus
Таблица П6. Сравнение Ct, полученной с использованием разных протоколов идентификации вирусной РНК для образцов с инфекционным и неинфекционным вирусом
Протокол выявления РНК RNA detection protocol | ПЦР+, n PCR+, n | ПЦР–, n PCR–, n | Ct, Ме (IQR) | Ct, M (SD) | р (критерий Манна–Уитни) р (Mann–Whitney test) |
HKU-ORF1b инфекционный HKU-ORF1b infectious | 65 | 3 | 24,40 (20,87–29,15) | 24,59 (7,6) | 0,0033 |
HKU-ORF1b неинфекционный HKU-ORF1b non-infectious | 407 | 96 | 28,74 (23,75–32,39) | 24,32 (12,4) | |
HKU-N инфекционный HKU-N infectious | 68 | – | 26,13 (24,00–31,00) | 27,64 (5,5) | 0,7069 |
HKU-N неинфекционный HKU-N non-infectious | 346 | 157 | 28,46 (0,00–32,92) | 21,46 (14,9) | |
E_Sarbeco инфекционный E_Sarbeco infectious | 68 | – | 23,00 (21,00–28,00) | 24,45 (5,4) | < 0,0001 |
E_Sarbeco неинфекционный E_Sarbeco non-infectious | 442 | 61 | 28,69 (24,94–32,04) | 25,96 (10,6) | |
N_Sarbeco инфекционный N_Sarbeco infectious | 66 | 2 | 27,96 (25,00–31,00) | 27,11 (6,2) | < 0,0001 |
N_Sarbeco неинфекционный N_Sarbeco non-infectious | 422 | 81 | 32,47 (28,19–35,12) | 27,52 (12,5) | |
RdRp инфекционный RdRp infectious | 66 | 2 | 34,00 (32,00–35,23) | 32,66 (6,4) | 0,7138 |
RdRp неинфекционный RdRp non-infectious | 327 | 176 | 34,66 (0,00–37,66) | 23,73 (17,6) | |
NSP1 инфекционный NSP1 infectious | 68 | – | 26,79 (25,08–30,84) | 27,68 (4,1) | < 0,0001 |
NSP1 неинфекционный NSP1 non-infectious | 474 | 29 | 32,72 (29,59–34,81) | 30,49 (8,2) |
Примечание. ПЦР+/– – положительный/отрицательный тест полимеразной цепной реакции.
Note. PCR+/– indicates positive/negative polymerase chain reaction test.
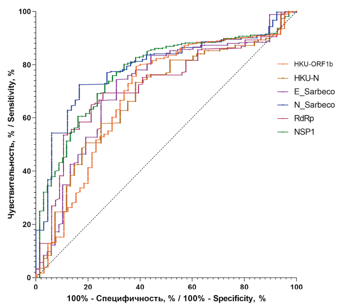
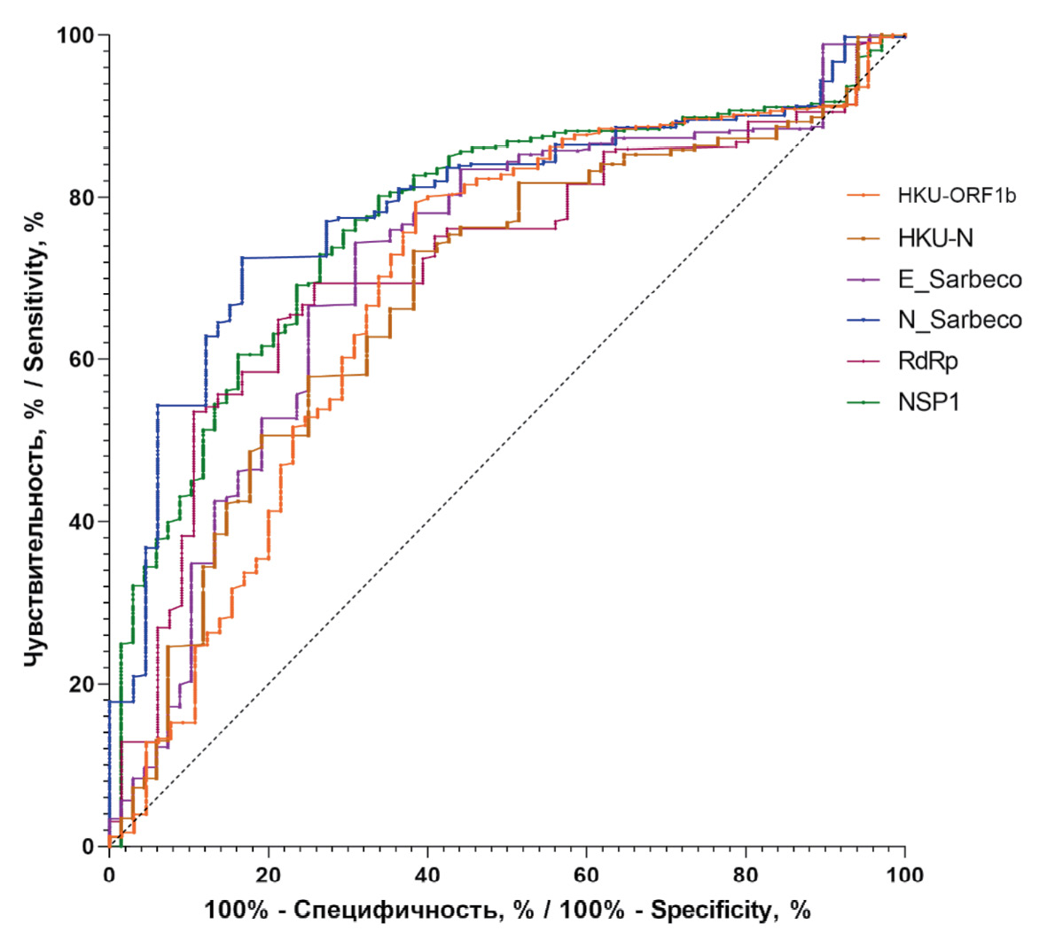
The ROC analysis was conducted for Ct values in different testing systems. For the Ct value (nsp1), the area under the curve (AUC) was 0.772 (95% CI, 0.718–0.826), p-value < 0.001. The cut-off point was selected at the intersection of specificity and sensitivity (Fig. S1). When the virus was identified as infectious in specimens with Ct values higher than 29.51, the sensitivity was 73.00% (68.83–76.80%), while the specificity was 73.53% (61.99–82.55%). For comparison of testing systems, the ROC analysis was performed for each of the testing systems; the main characteristics are given in Table 4 and in Fig. 5. The differences between the resulting curves are statistically insignificant, as AUC confidence intervals overlap in all cases: AUC was 0.682–0.789. The differences between the specificity and sensitivity at the optimum selection of the cut-off point (Table S7) are also statistically insignificant (Fig. 6), though the NSP1 and N-Sarbeco systems apparently demonstrate higher accuracy levels. The specificity in all the analyzed testing systems was 64.71–74.21% and the sensitivity was 64.74–73.00%.
Fig. S1. Sensitivity and specificity for various cut-off values: A – HKU-ORF1; B – HKU-N; C – E_Sarbeco; D – N_Sarbeco; E – RdRp; F – NSP1.
Fig. 5. ROC-analysis curves for different RNA detection protocols relative to identification of the infectious virus.
Fig. 6. Comparison of the specificity and sensitivity of different RNA detection protocols in relation to the identification of an infectious virus.
Table S7. The main characteristics of ROC-curves for determining the infectivity of the virus based on the results of RT-PCR tests targeting different fragments of SARS-CoV-2 genome
Таблица П7. Основные характеристики ROC-кривых для определения инфекционности вируса на основе результатов ОТ-ПЦР, поставленных на различные фрагменты SARS-CoV-2
Показатель Index | HKU-ORF1b | HKU-N | E_Sarbeco | N_Sarbeco | RdRp | NSP1 |
Площадь под кривой AUC | 0,690 | 0,682 | 0,718 | 0,789 | 0,720 | 0,772 |
Стандартная ошибка Std. Error | 0,038 | 0,035 | 0,034 | 0,026 | 0,032 | 0,028 |
95% доверительный интервал 95% confidence interval | 0,616–0,764 | 0,615–0,750 | 0,651–0,784 | 0,738–0,840 | 0,658–0,781 | 0,718–0,826 |
p-значение p-value | < 0,001 | < 0,001 | < 0,001 | < 0,001 | < 0,001 | < 0,001 |
Cut off | 27,31 | 33,61 | 25,76 | 30,46 | 35,05 | 29,51 |
Чувствительность, % Sensivity, % | 66,58 (61,87–70,99) | 64,74 (59,57–69,59) | 69,00 (64,54%–73,14) | 72,75 (68,31–76,78) | 69,42 (64,22–74,16) | 73,00 (68,83–76,80) |
Специфичность, % Specificity, % | 66,15 (54,04–76,47) | 64,71 (52,84–75,00) | 69,12 (57,36–78,83) | 72,73 (60,96–82,00) | 74,21 (62,57–83,25) | 73,53 (61,99–82,55) |
Примечание. ОТ-ПЦР – полимеразная цепная реакция с обратной транскрипцией.
Note. RT-PCR – polymerase chain reaction with reverse transcription.
Discussion
In a hospital, the risk of transmission of a pathogen to patients and healthcare workers is increased due to crowded, closed, or poorly ventilated settings, including the risk of hospital-acquired infections. As is known, nosocomial spread is typical of SARS-CoV-2 [18, 19]. During the COVID-19 pandemic, when hospital resources are used at maximum capacity, the understanding of the period, during which patients with COVID-19 remain infectious, is critically important. It is significant for decisions on the hospital length of stay for such patients and decisions on the scope of epidemic control measures both in hospital and community settings.
Our study presents data on the frequency and time for detection of infectious SARS-CoV-2 in the group of patients hospitalized with severe and moderate COVID-19. The obtained data show that 97% of the specimens collected from the patients do not contain the infectious virus after the 15th day from the symptom onset; the median detection time for the infectious virus was 8 days. These results correlate with the CDC recommendations for isolation of patients for up to 10 days and up to 20 days for severe cases requiring intensive care or mechanical ventilation [20].
Our study showed that the infectious virus was detected in 9.8 and 6.8% of all PCR-positive swabs from patients with moderate and severe COVID-19, respectively. Among patients with severe and moderate disease, the virus was isolated in the cell culture in 22.8% of specimens collected during the first week of the disease and in 10 and 4.6% of cases during the second and third week, respectively. In some patients with severe disease, the infectious virus persisted till the 46th day. It has been found that the RT-PCR-measured viral load in the nasopharyngeal swabs and the virus infectivity are interrelated. The similar result, though using the significantly smaller number of specimens, had been received previously when we conducted antigen tests to detect carriers of the infectious virus [21]. It has been found that in swabs with the infectious virus, the amount of SARS-CoV-2 RNA was significantly higher, though the virus was also isolated from swabs within a wide range of the viral load. When the patients were stratified depending on the detection of the infectious virus, regardless of the severity of COVID-19, we revealed statistically significant differences in viral load levels in specimens with the infectious virus and the non-infectious virus, Ct 32.25 (29.68–34.74) and 26.14 (23.81–28.86), or 1.71 × 104 (2.97 × 103–9.76 × 104) and 1.09 × 106 (2.34 × 105–5.50 × 106) gEq/ml (р < 0.001*, the Mann-Whitney test). The obtained results demonstrate the highest epidemiological risk during the first week of the disease after the onset of symptoms. These data correlate with CDC recommendations for using face masks by all family members, including infected individuals who do not need hospitalization, during two weeks [20].
We conducted a comparative assessment of the effectiveness of SARS-CoV-2 RNA detection protocols offered by WHO, CDC, and the protocol that we described earlier for detection of the infectious virus in the specimens collected from the patients. Based on the results of the analysis of the time, within which specimens remain positive in RT-PCR, HKU-ORF1b, HKU-N, and NSP1, the protocols did not show any statistical differences; the median time of the positive results for these tests was 11 days. For RdRp, E_Sarbeco, and N_Sarbeco, the median time was 9, 13, and 12 days, respectively. The comparison of Ct specimens with and without the infectious virus showed significant difference for the following targets: HKU-ORF1b (p = 0.0033), E_Sarbeco (р < 0.0001), N_Sarbeco (р < 0.0001), and NSP1 (р < 0.0001). For HKU-N and RdRp targets, no statistically significant difference was found. Based on the results of the ROC analysis, the differences between the resulting curves are statistically insignificant. The difference between the specificity and sensitivity of different tests is also statistically insignificant, though the NSP1 and N-Sarbeco systems are apparently characterized by higher accuracy levels in detecting patients with the infectious virus on mucous membranes.
Conclusion
Our tests demonstrate the absence of any significant differences in the time of detection of the infectious SARS-CoV-2 virus in the nasopharyngeal swabs collected from patients with moderate and severe COVID-19 during the studied period (November 2020 – March 2021). After 15 days from the onset of symptoms, 97% of hospitalized patients demonstrate absence of the infectious virus even having positive PCR test results. The median detection of the infectious virus was 8 days after the onset of symptoms. We have found the correlation between the detection of the infectious virus and the viral load. Any of the analyzed PCR test protocols can be used to detect carriers of the infectious virus.
About the authors
Nadezhda A. Kuznetsova
National Research Center for Epidemiology and Microbiology named after Honorary Academician N.F. Gamaleya of the Ministry of Health of the Russian Federation
Email: nadyakuznetsova0@gmail.com
ORCID iD: 0000-0002-7399-7628
PhD in Biology, Senior Researcher
Russian Federation, 123098, MoscowDarya A. Ogarkova
National Research Center for Epidemiology and Microbiology named after Honorary Academician N.F. Gamaleya of the Ministry of Health of the Russian Federation
Email: DashaDv1993@gmail.com
ORCID iD: 0000-0002-1152-4120
Junior Researcher
Russian Federation, 123098, MoscowVladimir A. Gushchin
National Research Center for Epidemiology and Microbiology named after Honorary Academician N.F. Gamaleya of the Ministry of Health of the Russian Federation
Author for correspondence.
Email: wowaniada@gmail.com
ORCID iD: 0000-0002-9397-3762
PhD in Biology, Leading Researcher
Russian Federation, 123098, MoscowNatalya A. Antipyat
Infectious Clinical Hospital No. 1 of the Department of Health of the Moscow
Email: natadoc70@bk.ru
ORCID iD: 0000-0001-8578-2838
Deputy Chief Physician, doctor of infectious diseases
Russian Federation, 125367, MoscowValeria V. Bacalin
Peoples’ Friendship University of Russia
Email: bacalinmed@gmail.com
ORCID iD: 0000-0002-0491-9925
Resident of the Department of Infectious Diseases with courses in Epidemiology and Phthisiology
Russian Federation, 117198, MoscowOlga A. Burgasova
Peoples’ Friendship University of Russia
Email: olgaburgasova@mail.ru
ORCID iD: 0000-0002-5486-0837
Dr. Sci. (Med.), professor
Russian Federation, 117198, MoscowLyudmila A. Vasilchenko
National Research Center for Epidemiology and Microbiology named after Honorary Academician N.F. Gamaleya of the Ministry of Health of the Russian Federation
Email: milavasilchenko97@gmail.com
ORCID iD: 0000-0003-0780-7782
Junior Researcher
Russian Federation, 123098, MoscowAlexey A. Samkov
Infectious Clinical Hospital No. 1 of the Department of Health of the Moscow
Email: a.a.samkov@yandex.ru
ORCID iD: 0000-0002-0365-3096
Deputy Chief Medical Officer, doctor of infectious diseases
Russian Federation, 125367, MoscowYana V. Simakova
National Research Center for Epidemiology and Microbiology named after Honorary Academician N.F. Gamaleya of the Ministry of Health of the Russian Federation
Email: nadyakuznetsova0@gmail.com
ORCID iD: 0000-0002-5033-6931
Researcher
Russian Federation, 123098, MoscowElizaveta V. Divisenko
National Research Center for Epidemiology and Microbiology named after Honorary Academician N.F. Gamaleya of the Ministry of Health of the Russian Federation
Email: elizaveta.divisenko@yandex.ru
Junior Researcher
Russian Federation, 123098, MoscowAndrei E. Siniavin
National Research Center for Epidemiology and Microbiology named after Honorary Academician N.F. Gamaleya of the Ministry of Health of the Russian Federation
Email: andreysi93@ya.ru
ORCID iD: 0000-0001-7576-2059
Researcher
Russian Federation, 123098, MoscowArtem P. Tkachuk
National Research Center for Epidemiology and Microbiology named after Honorary Academician N.F. Gamaleya of the Ministry of Health of the Russian Federation
Email: artem.p.tkachuk@gmail.com
ORCID iD: 0000-0003-3262-4873
PhD in Biology, Leading Researcher
Russian Federation, 123098, MoscowLiudmila V. Kolobukhina
National Research Center for Epidemiology and Microbiology named after Honorary Academician N.F. Gamaleya of the Ministry of Health of the Russian Federation
Email: lkolobuchina@yandex.ru
ORCID iD: 0000-0001-5775-3343
MD, Dr. Sci. (Med.), professor
Russian Federation, 123098, MoscowElena V. Shidlovskaya
National Research Center for Epidemiology and Microbiology named after Honorary Academician N.F. Gamaleya of the Ministry of Health of the Russian Federation
Email: lenitsa@gmail.com
ORCID iD: 0000-0001-8199-6417
Researcher
Russian Federation, 123098, MoscowIgor N. Tyurin
Infectious Clinical Hospital No. 1 of the Department of Health of the Moscow
Email: ikb1@zdrav.mos.ru
ORCID iD: 0000-0002-5696-1586
Candidate of Medical Sciences, Chief physician, doctor of the highest qualification category, anesthesiologist-resuscitator
Russian Federation, 125367, MoscowIrina S. Kruzhkova
National Research Center for Epidemiology and Microbiology named after Honorary Academician N.F. Gamaleya of the Ministry of Health of the Russian Federation
Email: irina-kru@yandex.ru
ORCID iD: 0000-0002-1983-481X
Researcher
Russian Federation, 123098, MoscowVladimir I. Zlobin
National Research Center for Epidemiology and Microbiology named after Honorary Academician N.F. Gamaleya of the Ministry of Health of the Russian Federation
Email: vizlobin@mail.ru
ORCID iD: 0000-0002-0164-5113
Dr. Sci. (Med.), professor, Academician of the RAS, Chief Researcher
Russian Federation, 123098, MoscowMaria A. Nikiforova
National Research Center for Epidemiology and Microbiology named after Honorary Academician N.F. Gamaleya of the Ministry of Health of the Russian Federation
Email: marianikiforova@inbox.ru
ORCID iD: 0000-0001-5823-6508
Researcher
Russian Federation, 123098, MoscowMikhail A. Odnoralov
Infectious Clinical Hospital No. 1 of the Department of Health of the Moscow
Email: nadyakuznetsova0@gmail.com
ORCID iD: 0000-0003-0525-6075
Resident
Russian Federation, 125367, MoscowAlexander L. Gintsburg
National Research Center for Epidemiology and Microbiology named after Honorary Academician N.F. Gamaleya of the Ministry of Health of the Russian Federation
Email: gintsburg@gamaleya.org
ORCID iD: 0000-0003-1769-5059
Dr. Sci. (Biol.), professor, Academician of the RAS, Director
Russian Federation, 123098, MoscowReferences
- WHO. Naming the coronavirus disease (COVID-19) and the virus that causes it. Available at: https://www.who.int/emergencies/diseases/novel-coronavirus-2019/technical-guidance/naming-the-coronavirus-disease-(covid-2019)-and-the-virus-that-causes-it
- Kolobukhina L.V., Burgasova O.A., Kraeva L.A., Gushchin V.A., Burtseva E.I., Kruzhkova I.S., et al. Clinical and laboratory profile of patients with COVID-19 admitted to hospital in Moscow between may and July 2020. Infektsionnye bolezni. 2021; 19(2): 5–15. https://doi.org/10.20953/1729-9225-2021-2-5-15 (in Russian)
- Killingley B., Mann A.J., Kalinova M., Boyers A., Goonawardane N., Zhou J., et al. Safety, tolerability and viral kinetics during SARS-CoV-2 human challenge in young adults. Nat. Med. 2022; 28(5): 1031–41. https://doi.org/10.1038/s41591-022-01780-9
- Salahshoori I., Mobaraki-Asl N., Seyfaee A., Mirzaei Nasirabad N., Dehghan Z., Faraji M., et al. Overview of COVID-19 disease: virology, epidemiology, prevention diagnosis, treatment, and vaccines. Biologics. 2021; 1(1): 2–40. https://doi.org/10.3390/biologics1010002
- Verity R., Okell L.C., Dorigatti I., Winskill P., Whittaker C., Imai N., et al. Estimates of the severity of coronavirus disease 2019: a model-based analysis. Lancet Infect. Dis. 2020; 20(6): 669–77. https://doi.org/10.1016/s1473-3099(20)30243-7
- He X., Lau E.H.Y., Wu P., Deng X., Wang J., Hao X., et al. Temporal dynamics in viral shedding and transmissibility of COVID-19. Nat. Med. 2020; 26(5): 672–5. https://doi.org/10.1038/s41591-020-0869-5
- Meyerowitz E.A., Richterman A., Gandhi R.T., Sax P.E. Transmission of SARS-CoV-2: A review of viral, host, and environmental factors. Ann. Intern. Med. 2021; 174(1): 69–79. https://doi.org/10.7326/m20-5008
- WHO. Transmission of SARS-CoV-2: implications for infection prevention precautions. Available at: https://www.who.int/news-room/commentaries/detail/transmission-of-sars-cov-2-implications-for-infection-prevention-precautions
- Cheng M.P., Papenburg J., Desjardins M., Kanjilal S., Quach C., Libman M., et al. Diagnostic testing for severe acute respiratory syndrome-related coronavirus 2. Ann. Intern. Med. 2020; 172(11): 726–34. https://doi.org/10.7326/m20-1301
- Shen M., Zhou Y., Ye J., Abdullah Al-Maskri A.A., Kang Y., Zeng S., et al. Recent advances and perspectives of nucleic acid detection for coronavirus. J. Pharm. Anal. 2020; 10(2): 97–101. https://doi.org/10.1016/j.jpha.2020.02.010
- Cevik M., Tate M., Lloyd O., Maraolo A.E., Schafers J., Ho A. SARS-CoV-2, SARS-CoV, and MERS-CoV viral load dynamics, duration of viral shedding, and infectiousness: a systematic review and meta-analysis. Lancet Microbe. 2021; 2(1): e13–22. https://doi.org/10.1016/s2666-5247(20)30172-5
- Zhang Y., Cen M., Hu M., Du L., Hu W., Kim J.J., et al. Prevalence and persistent shedding of fecal SARS-CoV-2 RNA in patients with COVID-19 infection: a systematic review and meta-analysis. Clin. Transl. Gastroenterol. 2021; 12(4): e00343. https://doi.org/10.14309/ctg.0000000000000343
- Fontana L.M., Villamagna A.H., Sikka M.K., McGregor J.C. Understanding viral shedding of severe acute respiratory coronavirus virus 2 (SARS-CoV-2): Review of current literature. Infect. Control Hosp. Epidemiol. 2021; 42(6): 659–68. https://doi.org/10.1017/ice.2020.1273
- WHO. Living guidance for clinical management of COVID-19. Available at: https://www.who.int/publications/i/item/WHO-2019-nCoV-clinical-2021-2
- Kruglova N., Siniavin A., Gushchin V., Mazurov D. Different neutralization sensitivity of SARS-CoV-2 cell-to-cell and cell-free modes of infection to convalescent sera. Viruses. 2021; 13(6): 1133. https://doi.org/10.3390/v13061133
- HKU Med. Detection of 2019 novel coronavirus (2019-nCoV) in suspected human cases by RT-PCR. Available at: https://www.who.int/docs/default-source/coronaviruse/peiris-protocol-16-1-20.pdf?sfvrsn=af1aac73_4
- Corman V.M., Landt O., Kaiser M., Molenkamp R., Meijer A., Chu D.K.W., et al. Detection of 2019 novel coronavirus (2019-nCoV) by real-time RT-PCR. Euro Surveill. 2020; 25(3): 2000045. https://doi.org/10.2807/1560-7917.es.2020.25.3.2000045
- Read J.M., Green C.A., Harrison E.M., Docherty A.B., Funk S., Harrison J., et al. Hospital-acquired SARS-CoV-2 infection in the UK’s first COVID-19 pandemic wave. Lancet. 2021; 398(10305): 1037–8. https://doi.org/10.1016/s0140-6736(21)01786-4
- Richterman A., Meyerowitz E.A., Cevik M. Hospital-acquired SARS-CoV-2 infection: lessons for public health. JAMA. 2020; 324(21): 2155–6. https://doi.org/10.1001/jama.2020.21399
- CDC. Centers for Disease Control and Prevention. Ending Isolation and Precautions for People with COVID-19: Interim Guidance; 2023 Available at: https://www.cdc.gov/coronavirus/2019-ncov/hcp/duration-isolation.html
- Shidlovskaya E.V., Kuznetsova N.A., Divisenko E.V., Nikiforova M.A., Siniavin A.E., Ogarkova D.A., et al. The value of rapid antigen tests for identifying carriers of viable SARS-CoV-2. Viruses. 2021; 13(10): 2012. https://doi.org/10.3390/v13102012
Supplementary files










